Skip to Main Content
  • FB Trent Lakes Historical Society
  • FB Kinmount Heritage Centre and Museum
Trent Lakes Historical Society

Trent Lakes Historical Society

  • Home
  • Kinmount Heritage Centre and Museum
    • Kinmount Gazettes (view full screen)
    • The 1939 Royal Tour Commemorative Quilt
    • Fee’s Drug Store 1935
    • Icelandic Kinmount 150
    • Kinmount Heritage Centre Presentation
    • Virtual Museum 2024
  • Peter Robinson Settlers 200th Anniversary 2025
    • Peter Robinson Settlers 2025 RECAP
    • We’re Having an OPEN HOUSE!!!
    • Peter Robinson Settlers – the Next Generations
    • Galway Driving Tour – PRS the Next Generations – Hickey
    • Galway Driving Tour – PRS the Next Generations – Allen
    • Galway Driving Tour – PRS the Next Generations-Cain (Keane)
    • Nine Ships 1825 Calendar of Events 2025
    • Peter Robinson Settlers – the Journey
    • Peter Robinson Settlers – the Ships
    • Galway Pioneer Cemetery Nov 2025
    • Immaculate Conception Roman Catholic Church on Galway Road. Burned down in 1930. On site of Galway Hall.
  • Genealogy and Research
    • Galway Pioneer Cemetery Memorials
    • Census for Kinmount 1911
    • Censuses
    • Canada Census 1911 Transcription
    • The 1911 Census transcription of Kinmount Village
    • Family Trees at Galway Hall (use full screen then esc)
    • Harvey Township Early Settlers
    • Galway Township Early Settlers
  • TLHS Newsletters
    • Fall 2025 Newsletter
    • Summer 2025 Newsletter
    • Spring 2025 Newsletter
    • Trent Lakes Heritage Fall 2024 Newsletter
    • 2023 Fall Newsletter
    • Newsletter Spring 2023
    • October 2019 Newsletter
    • Newsletter July 2019
    • Newsletter May 2019
    • Newsletter October 2018
    • Newsletter August 2018
    • Newsletter November 2017
    • Newsletter November 2015
  • Books
    • Galway A Pictorial History Over the Years (preview)
    • In and Around Burnt River
  • Photos and Videos
    • Galway Pioneer Cemetery Nov 2025
    • Sawmill Photos
    • Galway Fire Chief – John Hickey
  • Contact and Links
    • TLHS Membership Form 2026
    • Useful Links

Genealogy

Edward Franklin Grieve
13 Feb 2025

Edward Franklin Grieve

by TrentLakesHeritage | posted in: Cemetery Records | 0

https://www.findagrave.com/memorial/185342669/edward-franklin-grieve

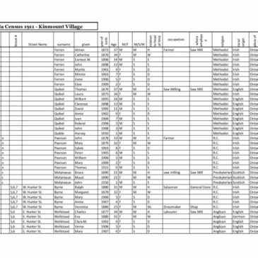
The 1911 Census transcription of Kinmount Village
7 Feb 2025

The 1911 Census transcription of Kinmount Village

by TrentLakesHeritage | posted in: Censuses | 0
Peter Robinson Settlers – the Next Generations
16 Dec 2024

Peter Robinson Settlers – the Next Generations

by TrentLakesHeritage | posted in: Area History, Cemetery Records, Church Photos, Family Trees, Peter Robinson Settlers | 0

The photo below is of the original Roman Catholic Church which was located on concession 12, Lot 5 in Galway Township. Very much the centre of the ‘Galway’ Community, this location is still the hub of the Township, but without … Continued

Family Trees at Galway Hall Office
9 Nov 2023

Family Trees at Galway Hall Office

by TrentLakesHeritage | posted in: Family Trees | 0
Census for Kinmount 1911
28 Apr 2023

Census for Kinmount 1911

by TrentLakesHeritage | posted in: Censuses | 0
Canada Census 1911 Transcription
23 Mar 2023

Canada Census 1911 Transcription

by autologin | posted in: Censuses | 0

© 2026 Trent Lakes Historical Society - WordPress Theme by Kadence WP